• Предмет: Математика
  • Автор: dx1213
  • Вопрос задан 7 лет назад

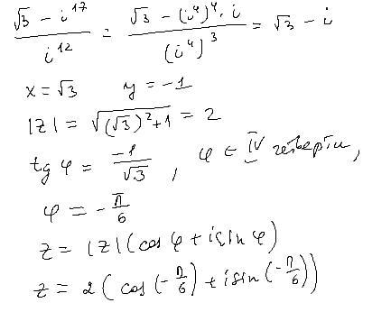
7. Выполнить действия и результат записать в тригонометрической форме.

Приложения:

Ответы

Ответ дал: dashulka22222
0

Ответ:

Пошаговое объяснение:

Приложения:
Вас заинтересует