• Предмет: Математика
  • Автор: kovrik24
  • Вопрос задан 7 лет назад

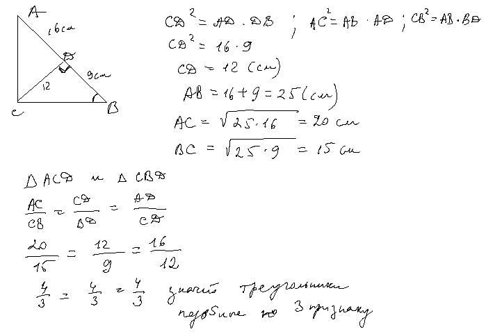
Высота CD прямоугольного треугольника ABC делит гипотенузу, AВ на части AD =16 см, BD = Эсм. Докажите, что треугольник ACD подобен треугольнику CBD, и найдите высоту CD.​


dashulka22222: название треугольников, которые подобны - правильное? Не АСВ подобен CBD?
dashulka22222: высота CD равна корню из произведения АD*DB=12 см
kovrik24: спасибо

Ответы

Ответ дал: dashulka22222
0

Ответ:

Пошаговое объяснение:

Приложения:
Вас заинтересует