• Предмет: Математика
  • Автор: zhumabekovaadele
  • Вопрос задан 7 лет назад

Помогите пж я не шарю

Приложения:

Ответы

Ответ дал: saduakasovahmet
0

Ответ:

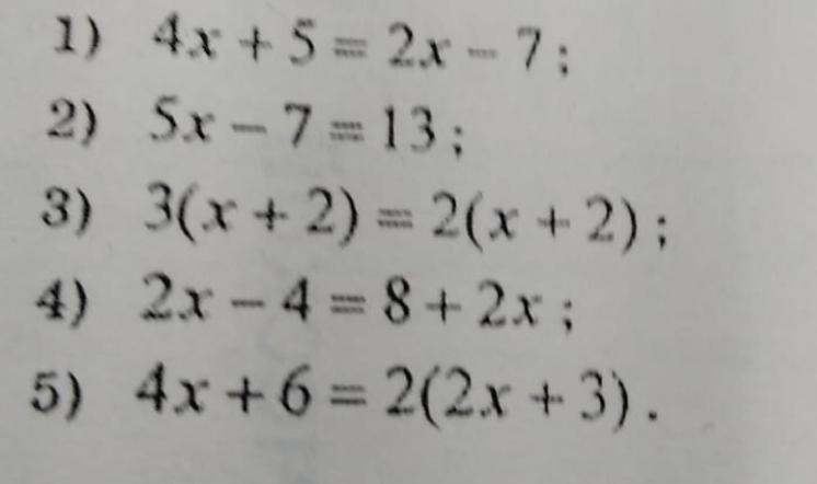
1 4х+5=2х-7

9х=-5х

9х+(-5х)

-14х

Ответ дал: nurkhan20092020
1

1)4х+5=2х-7

4х-2х=-7-5

2х=-12

х=-12/2

х=-6

Ответ:-6

2)5х-7=13

5х=13+7

5х=20

х=20/5

х=4

Ответ:4

3)3(х+2)=2(х+2)

3х+6=2х+4

3х-2х=4-6

х=-2

Ответ:-2

4)2х-4=8+2х

2х-2х=8+4

0*х=12

х=12:0

х=∅

Ответ:∅

5)4х+6=2(2х+3)

4х+6=4х+6

4х-4х=6-6

0х=0

Ответ: х-любая цифра

Вас заинтересует