• Предмет: Математика
  • Автор: Kim1family
  • Вопрос задан 7 лет назад

пж ответь. очень надо очень пж пж пж

Приложения:

Ответы

Ответ дал: iramazurk
0

Ответ:

Пошаговое объяснение:

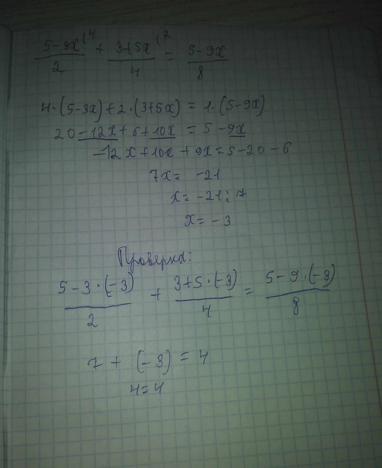
(5-3х)/2 + (3+5х)/4 = (5-9х)/8 | *8

4*(5 - 3х) + 2*(3 + 5х) = 1*(5 - 9х)

20 - 12х + 6 + 10х = 5 - 9х

-12х + 10х + 9х = 5 - 20 - 6

7х = -21

х = -21 : 7

х = -3

Ответ дал: aristoktararistokrat
0

Ответ:

на фото

Обьяснение

Приложения:
Вас заинтересует