• Предмет: Алгебра
  • Автор: Аноним
  • Вопрос задан 7 лет назад

Помогите пожалуйста ​

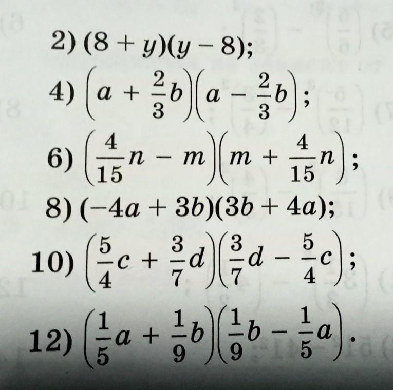
Приложения:

Ответы

Ответ дал: MagdaSinger
1

Ответ:

(8+y)(y-8) =8y-64+y^2-8y=-64+y ^2=y ^2-64\\ (a+ \dfrac{ 2  }{ 3  }  b)(a- \dfrac{ 2  }{ 3  }  b) =a^{2} -(\dfrac{ 2  }{ 3  }  b)^2=a^{2} -\dfrac{ 4  }{ 9  }  b^2\\ ( \dfrac{ 4  }{ 15  }  n-m)(m+ \dfrac{ 4  }{ 15  }  n) =(\dfrac{ 4  }{ 15  }  n)^2-m^2=\dfrac{ 16  }{ 225  }  n^2-m^2\\ (-4a+3b)(3b+4a) =-12ab-16a^2+9b^2+12ab=9b^2-16a^2\\ ( \dfrac{ 5  }{ 4  }  c+ \dfrac{ 3  }{ 7  }  d)( \dfrac{ 3  }{ 7  }  d- \dfrac{ 5  }{ 4  }  c) =(\dfrac{ 3  }{ 7  }  d)^2-(\dfrac{ 5  }{ 4  }  c)^2=

=\dfrac{ 9  }{ 49  }  d^2-\dfrac{ 25  }{ 16 }  c^2

( \dfrac{ 1  }{ 5  }  a+ \dfrac{ 1  }{ 9  }  b)( \dfrac{ 1  }{ 9  }  b- \dfrac{ 1  }{ 5  }  a) =( \dfrac{ 1  }{ 9  }  b)^2- (\dfrac{ 1  }{ 5  }  a)^2=\dfrac{ b^2  }{ 81  }-\dfrac{ a^2  }{ 25  }

Объяснение:

Вас заинтересует