• Предмет: Математика
  • Автор: valiasanov640
  • Вопрос задан 7 лет назад

Сделайте пж дам лучший ответ байк поставлю и подпишусь дам лучший ответ ​

Приложения:

Ответы

Ответ дал: tetamotatetyamotya
2

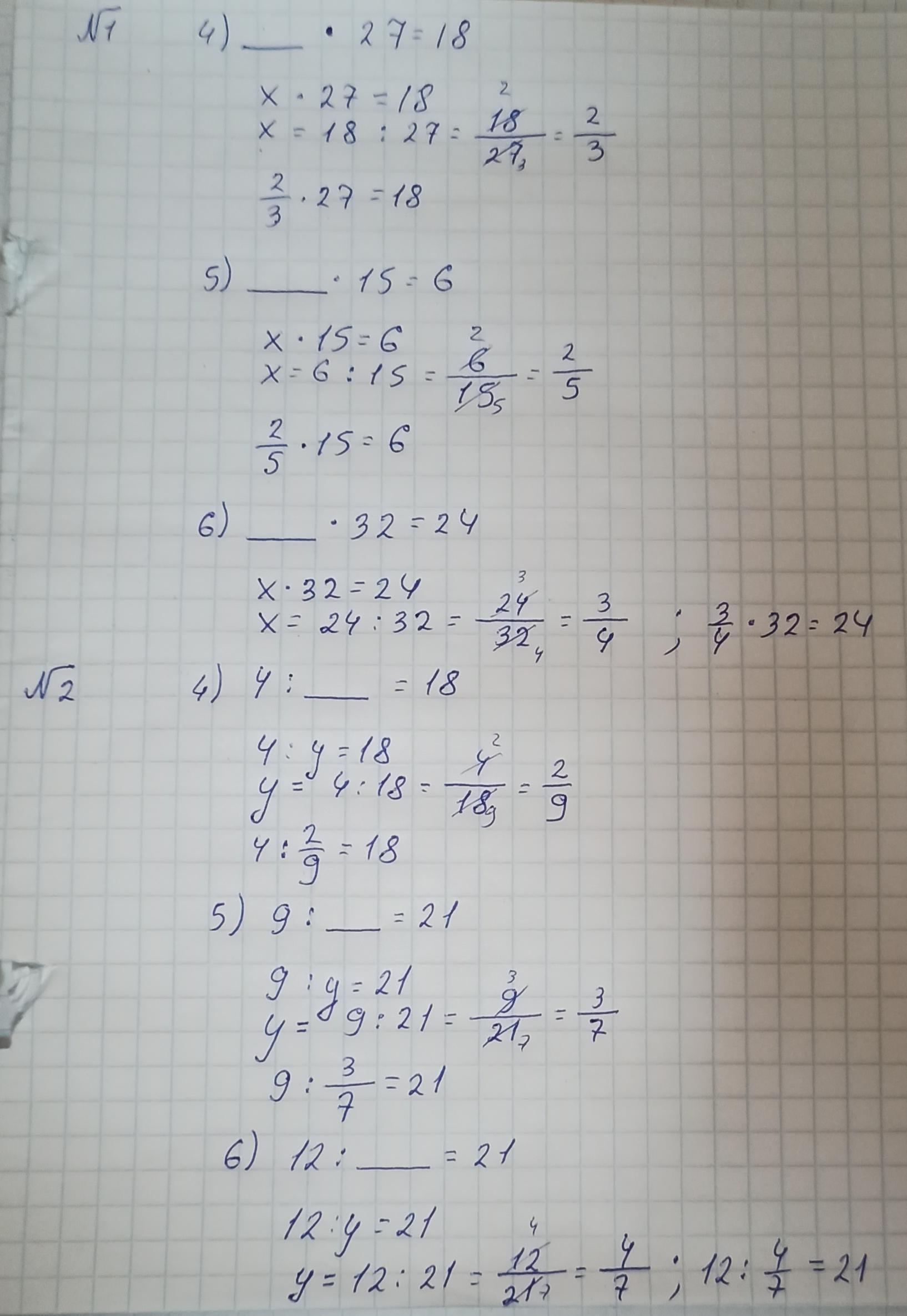
Ответ:вот

Пошаговое объяснение:

Приложения:
Ответ дал: 7julija7
1

Відповідь:

Покрокове пояснення:

Приложения:

valiasanov640: я щас ещё вопрос задам и ты ответь
valiasanov640: ок?
valiasanov640: и я лучший ответ дам
tetamotatetyamotya: Заберите у меня лучший ответ,отдайте девушке,я не обижусь
valiasanov640: хорошо
valiasanov640: как убрать?
tetamotatetyamotya: А вот этого я не знаю,простите.
valiasanov640: попробуй удалить вопрос или не знаю что ещё
7julija7: Не стоит, я тоже не обижаюсь)
7julija7: Но спасибо за заботу)))
Вас заинтересует