• Предмет: Алгебра
  • Автор: instasotrud
  • Вопрос задан 7 лет назад

нужно быстрооо 6х²-4х-2>0​

Ответы

Ответ дал: parus77
1

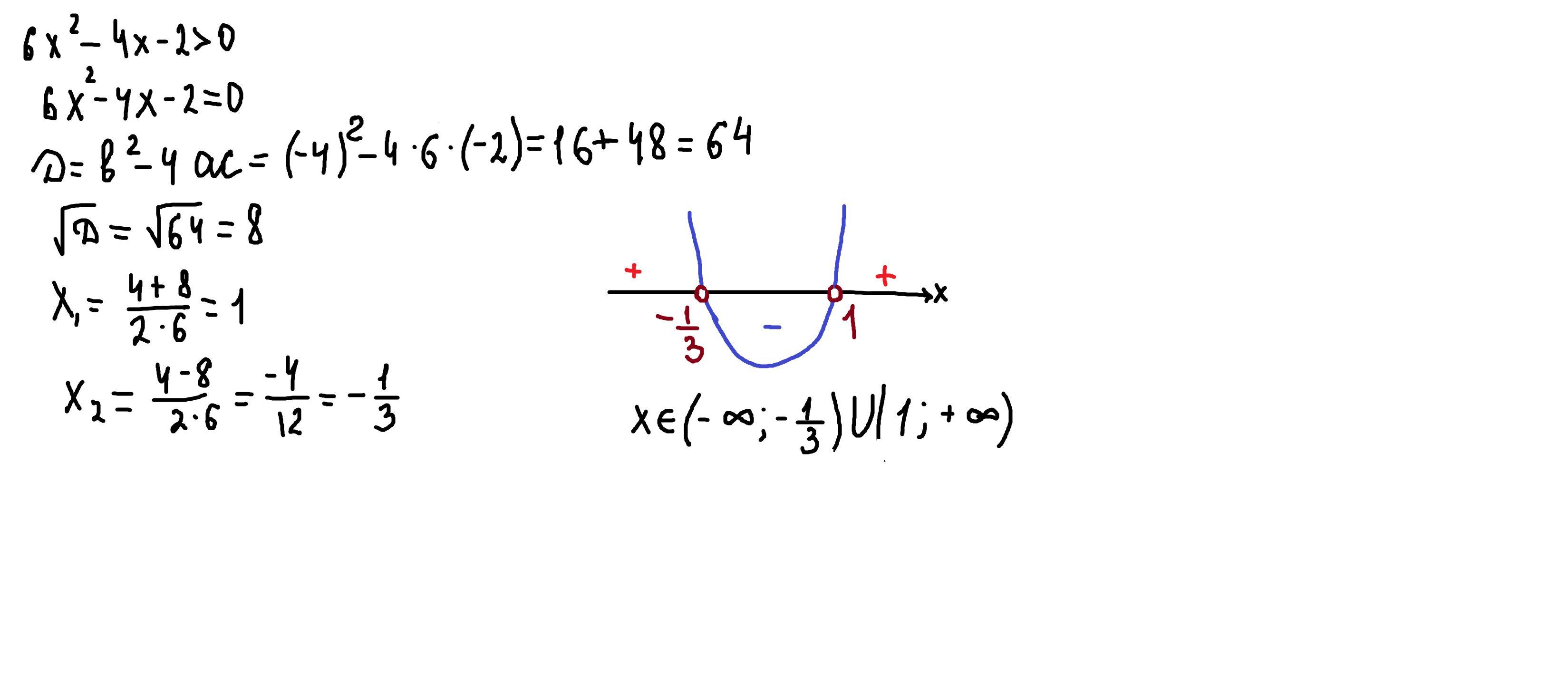
Ответ:

Объяснение:

приравниваем к 0 и находим корни этого кв. уравнения.

Отмечаем эти точки на коорд. прямой,это точки пересечения параболы с осью Х.

Т.к коэффициент а=6,то ветви параболы направлены вверх,построим параболу схематически.

Ваше неравенство больше 0,поэтому в ответе мы записываем те промежутки,которые находятся выше оси Х.

А если бы было меньше 0,то записали бы промежуток который ниже оси Х.

т.к неравенство строгое,то точки не закрашены и скобки в ответе круглые.

Приложения:
Вас заинтересует