• Предмет: Алгебра
  • Автор: sofiya1895
  • Вопрос задан 7 лет назад

Квадрат суммы и квадрат разности двух выражений. Урок 1 Преобразуй выражение в многочлен. Заполни пропуски. Ответ: (6kt – 0,2)2 = k т t k А + + k Назад В Проверить​

Приложения:

Ответы

Ответ дал: parus77
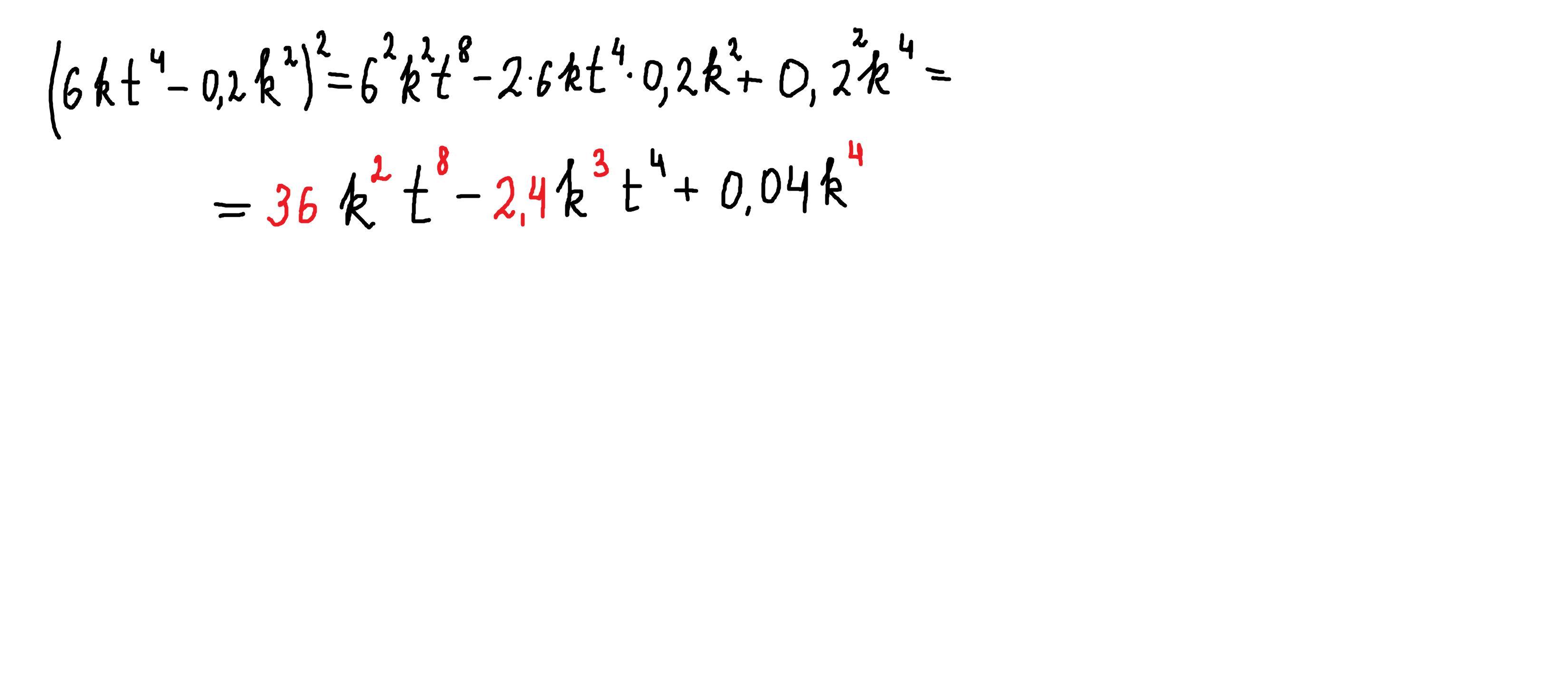
70

Ответ:

Объяснение:

то что надо записать в клеточки выделено красным цветом.

решение внизу,применяли формулу (а-в)²=а²-2ав+в²

Приложения:

olzhasnurov07: ничего не понятно
iskakovmiras25: не хера не правильно
iskakovmiras25: ответ не понятен
iskakovmiras25: рот твой на оборот
iskakovmiras25: шатал я его
tsoyevgeniya2009: @iskakovmiras25 . Ну как по мне всё понятно . И это верно . У меня это показало что правильно .
iskakovmiras25: Бл. я думал надо верхнию писать. М-да. ну он тоже дибила, надо было просто написать ответ
tsoyevgeniya2009: @iskakovmiras25 можно было просто прочитать . И было бы понятно . И не допустили бы ошибки . И когда ответ объясняют или же показывают как его решать можно так же понять как решать такие задания
iskakovmiras25: не знаю, я слишком гениальный, чтобы понять это
kuttybajinzu: самооценка которую я хочу:
Вас заинтересует