Ответы
Ответ дал:
0
Ответ:
если есть равенство равное нулю тогда у уравнения корней нет, по крайней мере так объяснял учитель
Объяснение:
Ответ дал:
2
Ответ:
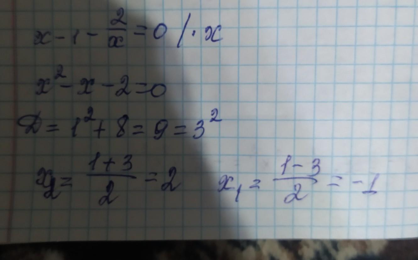
-1;2 всего два корня......
Приложения:

Вас заинтересует
2 года назад
2 года назад
2 года назад
8 лет назад
8 лет назад
9 лет назад