• Предмет: Математика
  • Автор: k6251962
  • Вопрос задан 7 лет назад

Решите плиз.Дам 20 баллов!!

Приложения:

Ответы

Ответ дал: WuYiFan30
0

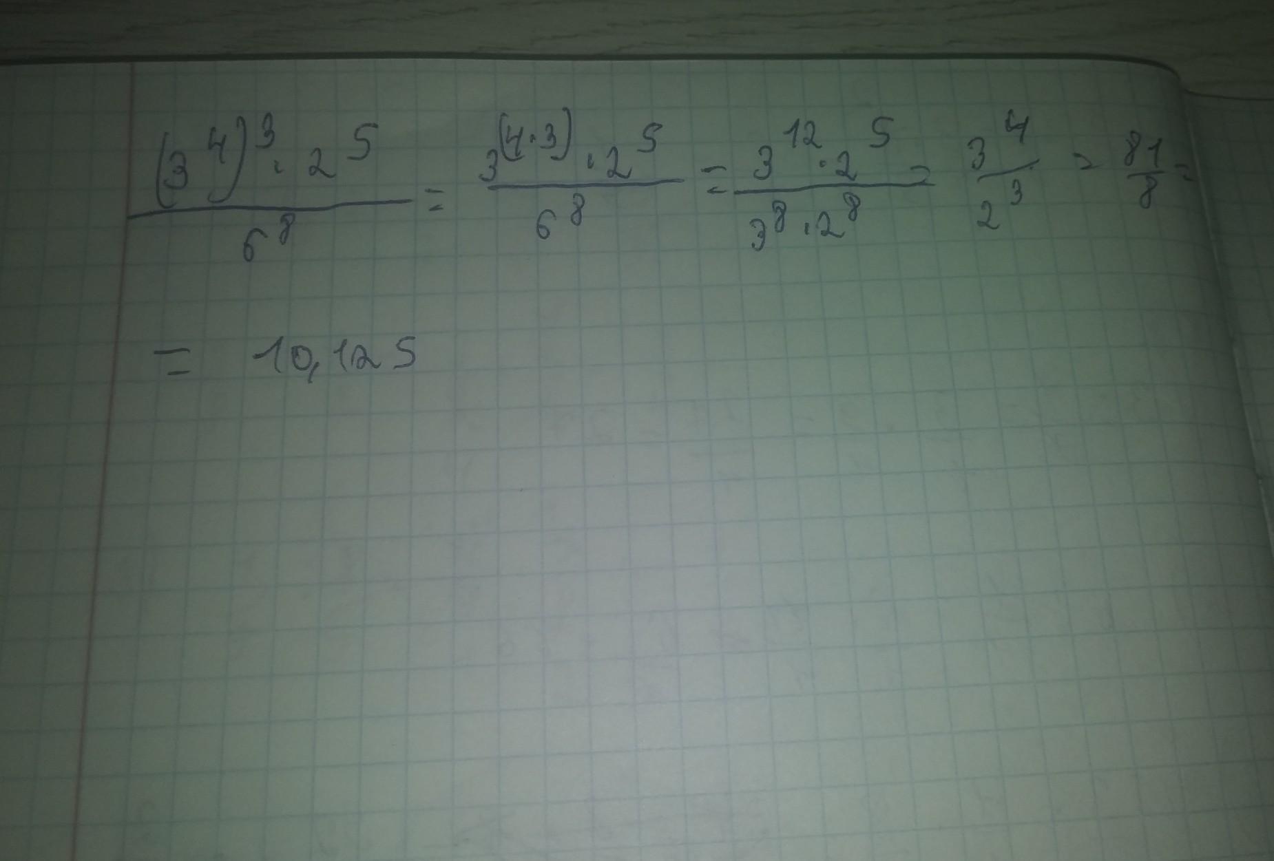
\frac{(3 ^{4}) ^{3}   \times  {2}^{5}  }{ {6}^{8} }  =  \frac{ {3}^{12} \times  {2}^{5}  }{{6}^{8} }  =  \frac{ {3}^{12} \times  {2}^{5}  }{ {3}^{8}  \times  {2}^{8} }  =  \frac{ {3}^{4} }{ {2}^{3} }  =  \frac{81}{8}  = 10.125

Ответ дал: aristoktararistokrat
0

на фото

Ответ

Обьяснение

Приложения:
Вас заинтересует