• Предмет: Математика
  • Автор: FokinaArina
  • Вопрос задан 7 лет назад

Всем привет! Помогите, пожалуйста!

Приложения:

Ответы

Ответ дал: Ticher1997
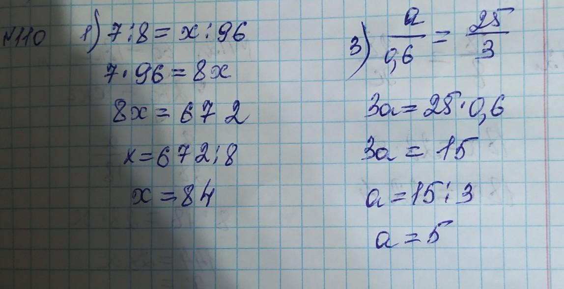
2

Ответ:

1) 84 3) 5

задача 63

........

Приложения:

Ticher1997: ну
FokinaArina: К сплаву массой 600 г, содержавшему 20 % меди, добавили 40 г меди. Каким стало процентное содержание меди в новом сплаве?
Ticher1997: 1)600*0,2=120 2)120+40=160. 3)600+40=640. 4)160*100:640=25 процентов. процентное содержание меди в новом сплаве стала 25 процентное
FokinaArina: Спасибо)))))))))
FokinaArina: Ну и кому же мне ставить лучший ответ?
FokinaArina: Это ты на Аватарке
Ticher1997: получается я
FokinaArina: Красивый......:)
Ticher1997: обрадовала Ученица
Ticher1997: https://join.skype.com/invite/NIpBPeoCnWgW
Ответ дал: livklb
2

решение во вложении...

Приложения:

Ticher1997: молодец
FokinaArina: Спасибо!!
livklb: не за что)
FokinaArina: Ну и кому же мне ставить лучший ответ?
livklb: как вам угодно...
livklb: можно мне?
FokinaArina: ok
Ticher1997: да Сейчас ей важнее.
FokinaArina: ❤️❤️❤️❤️❤️❤️❤️❤️❤️❤️❤️❤️❤️❤️❤️❤️❤️❤️❤️❤️❤️❤️❤️❤️❤️❤️❤️❤️❤️❤️❤️❤️❤️❤️❤️❤️❤️❤️❤️❤️❤️❤️❤️❤️❤️❤️❤️❤️❤️❤️❤️❤️❤️❤️❤️❤️❤️❤️❤️❤️❤️❤️❤️❤️❤️❤️❤️❤️❤️❤️❤️❤️❤️❤️❤️❤️❤️❤️❤️❤️❤️❤️❤️❤️❤️❤️❤️❤️❤️❤️❤️❤️❤️❤️❤️❤️❤️❤️❤️❤️❤️❤️❤️❤️❤️❤️❤️❤️❤️❤️❤️❤️❤️❤️❤️❤️❤️❤️❤️❤️
livklb: благадарю)
Вас заинтересует