• Предмет: Алгебра
  • Автор: bakura1268
  • Вопрос задан 7 лет назад

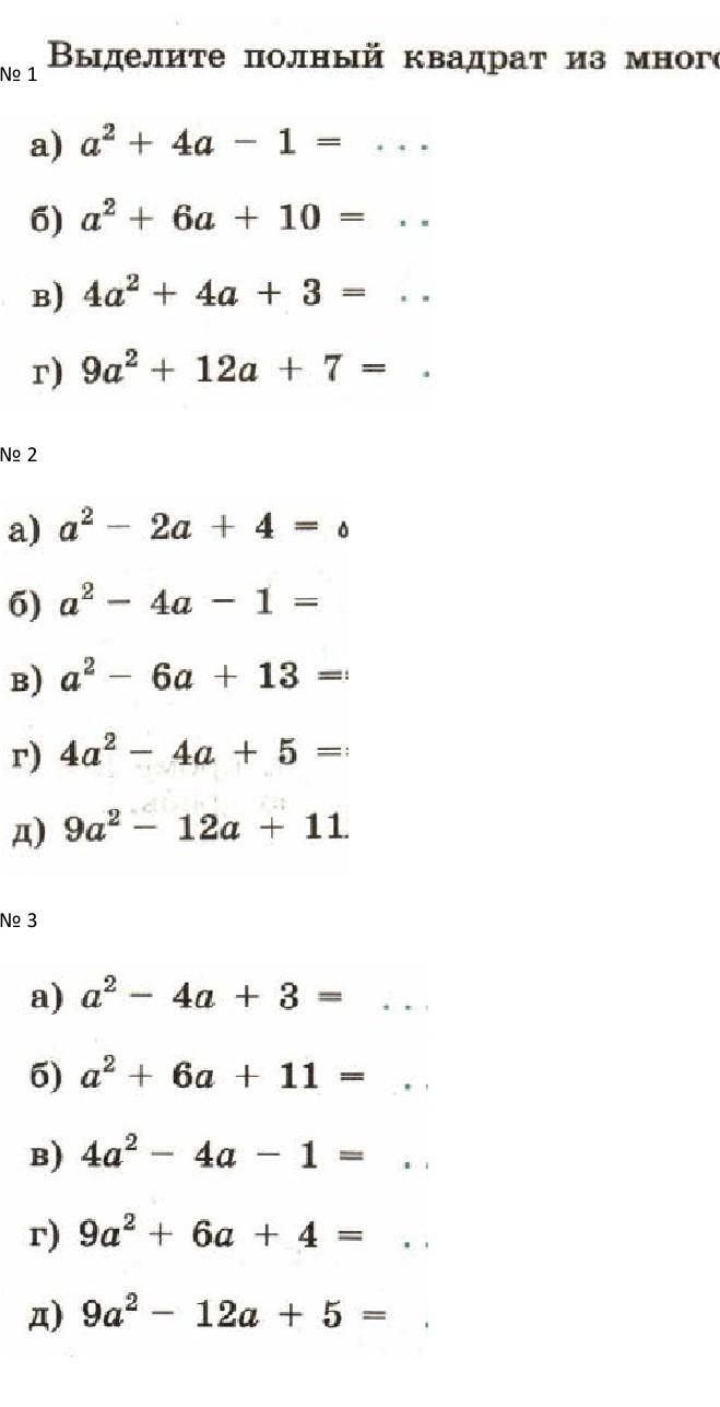
ВЫДЕЛИТЕ ПОЛНЫЙ КВАДРАТ ИЗ МНОГОЧЛЕНА​

Приложения:

Ответы

Ответ дал: natabyl
1

Ответ:

см фото

Объяснение:

Приложения:
Вас заинтересует