• Предмет: Математика
  • Автор: alexxxmee1
  • Вопрос задан 7 лет назад

С объяснением!
Чему равна производная y=ln(11x)?
Только, пожалуйста, без скопированных ответов, я их уже видел.

Ответы

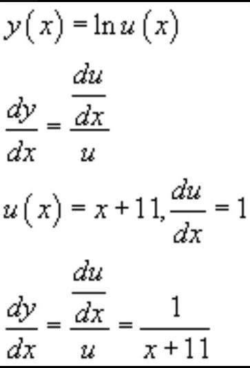
Ответ дал: obiginayalama1234
0

Ответ:

могу только так, на фотографии всё показано

Приложения:
Вас заинтересует