Ответы
Ответ дал:
1
Ответ:
смотри внимательно
3 и 4 это одно и тоже
Приложения:

lololololoku228:
брат ты лучший здаровъе тебе
Ответ дал:
0
Объяснение:
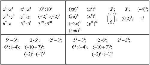
Первый блок:
x^5*x^4=x^9 x^6:x^4=x^2 10^8:10^5=10^3=1000
y^10*y^3=y^13 y^7:y=y^6 (-2)^9:(-2)^5=(-2)^4=16
b^7*b=b^8 5^10:5^2=5^8=390625 3^201:3^199=3^2=9
Второй блок:
5^2-3^2=(5-3)*(5+3)=2*8=16 2*6^2=72 2^3-3^2=8-9=-1
6^2:(-4)=36:(-4)=-9 (-10+7)^3=(-3)^3=-27 (-2)^3*(-1)^6=-8*1=-8
Третий блок:
(xy)^9=x^9*y^9 (a^2)^6=a^12 2^5=32 3^4=81 (-4)^3=-64
(3a)^4=81*a^4 (x^4)^8=x^32 (1/6)^2=1/36 (0.2)^3=0.008 1^8=1
(-2x)^5=-64*x^5 (y^10)^10=y^100 (5ab)^3=125*a^3*b^3
Четвёртый блок:
5^2-3^2=(5-3)*(5+3)=2*8=16 2*6^2=72 2^3-3^2=8-9=-1
6^2:(-4)=36:(-4)=-9 (-10+7)^3=(-3)^3=-27 (-2)^3*(-1)^6=-8*1=-8
Вас заинтересует
2 года назад
2 года назад
8 лет назад
8 лет назад