• Предмет: Алгебра
  • Автор: dnjfdjdj038
  • Вопрос задан 7 лет назад

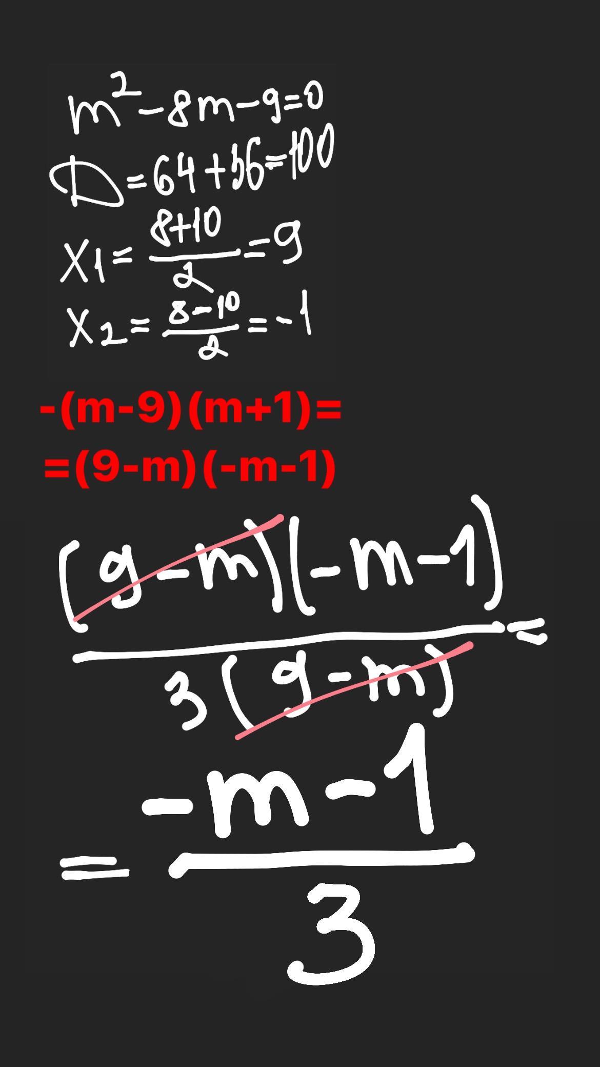
Сократите дробь:
9+8m-m²/27-3m
пожалуйста можете помочь​

Приложения:

Ответы

Ответ дал: mrjerry13
0

сначала нужно упростить числитель(это то, что сверху). для этого решим квадратное уравнение и разложим на множители:

(все во вложении)

Приложения:

mrjerry13: то, что красным - это разделение на множители числителя. потом все то числителя пишу то, что получилось, а в знаменателе выношу общий множитель (это 3) за скобки, и дальше все сокращается
Вас заинтересует