• Предмет: Алгебра
  • Автор: golar77
  • Вопрос задан 7 лет назад

СРОЧНО ПОМОГИТЕ ПОЖАЛУЙСТА​
зараннее спасибо

Приложения:

Ответы

Ответ дал: dashulka22222
1

Ответ:

Объяснение:

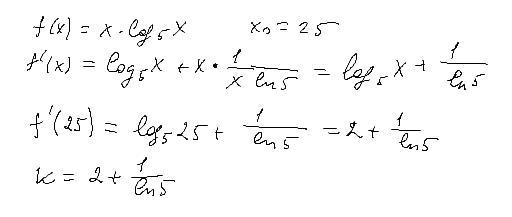
Кутовий коефіцієнт дотичної дорівнює похідній функції в точці дотику, тобто в точці х=25

Приложения:

golar77: Там последнее задания, посмотрите пожалуйста про рівняння дотичної
Вас заинтересует