Ответы
Ответ дал:
1
Ответ:
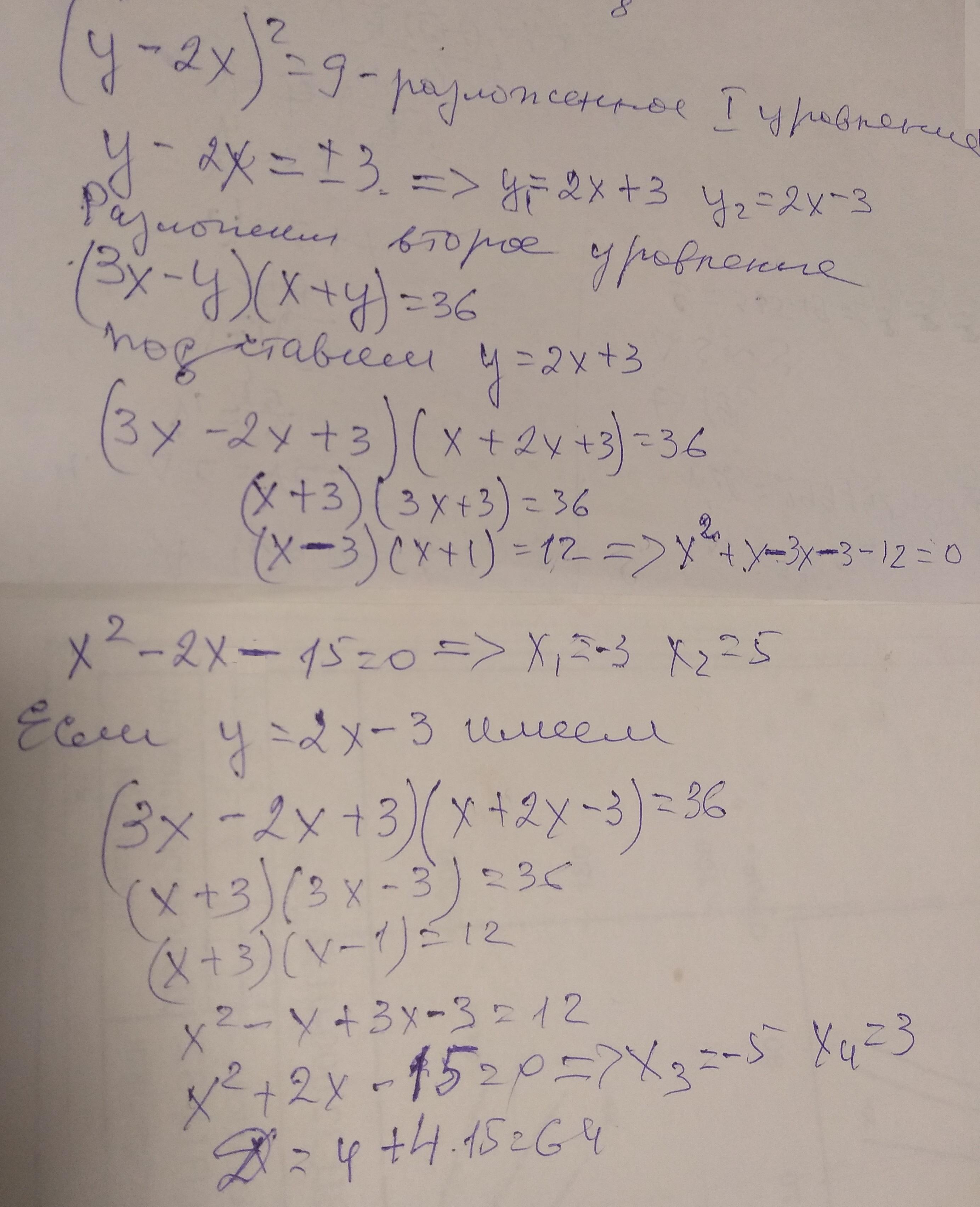
х₁=-3 у₁=2х+3=2*(-3)+3=-3
х₂=5 у₂=2*5+3=13
х₃=-5
у₃=2х-3=2*(-5)-3=-13
х₄=3
у₄=2*3-3=3
Объяснение:
см фото
Приложения:

Вас заинтересует
2 года назад
2 года назад
2 года назад
8 лет назад
9 лет назад