• Предмет: Алгебра
  • Автор: kamilahusainova2008
  • Вопрос задан 7 лет назад

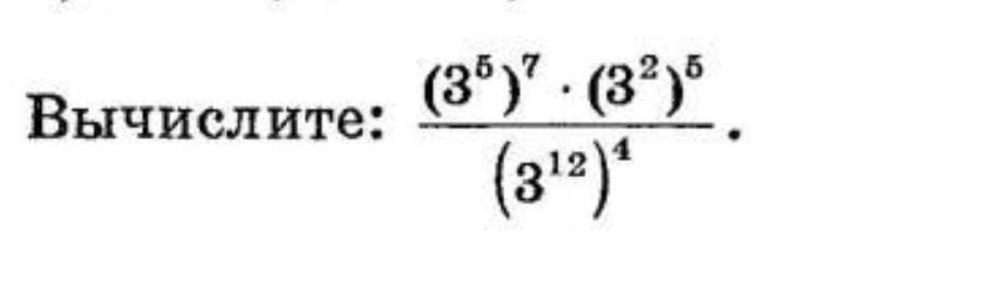
помогите пожалуйста.Если можно по рисунку​

Приложения:

Ответы

Ответ дал: 77kasper77
0

Вот подробное решение и в конце ответ)

Приложения:
Вас заинтересует