• Предмет: Алгебра
  • Автор: Olia437
  • Вопрос задан 7 лет назад

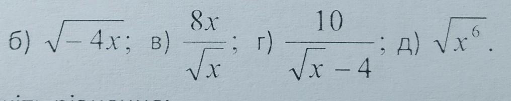
2. Знайдіть область допустимих значень виразу: ​

Приложения:

Ответы

Ответ дал: 10853
1

Відповідь:

Пояснення:

Приложения:
Вас заинтересует