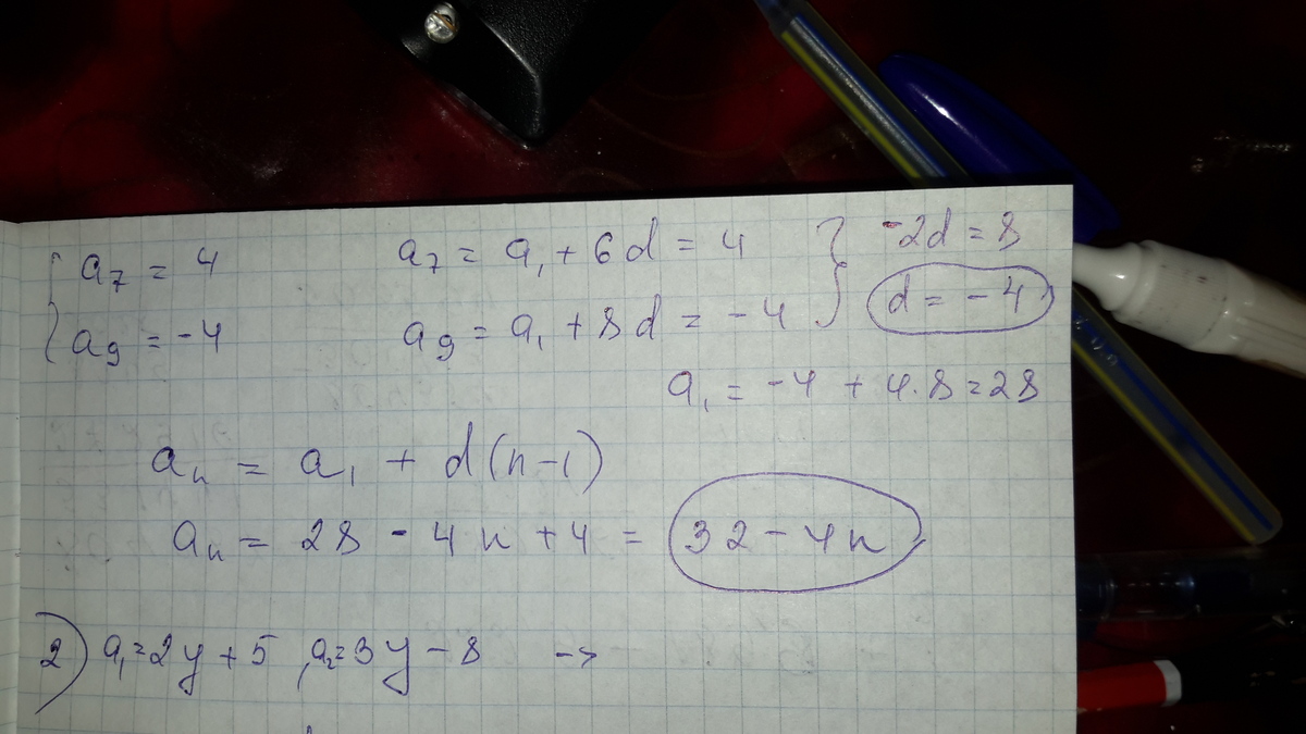
1)a7=4, a9=-4 составьте формулу n-го члена арифметической прогрессии (an).
2) найдите те значения y, при которых числа 2y+5, y, 3y-8 являются последовательными членами арифметической прогрессии.
Ответы
Ответ дал:
0
"""""""""""""""""""""""""""""""""""""""""""
Приложения:


Вас заинтересует
2 года назад
2 года назад
8 лет назад
8 лет назад
10 лет назад
10 лет назад