За спам жалоба. Помогите пожалуйста
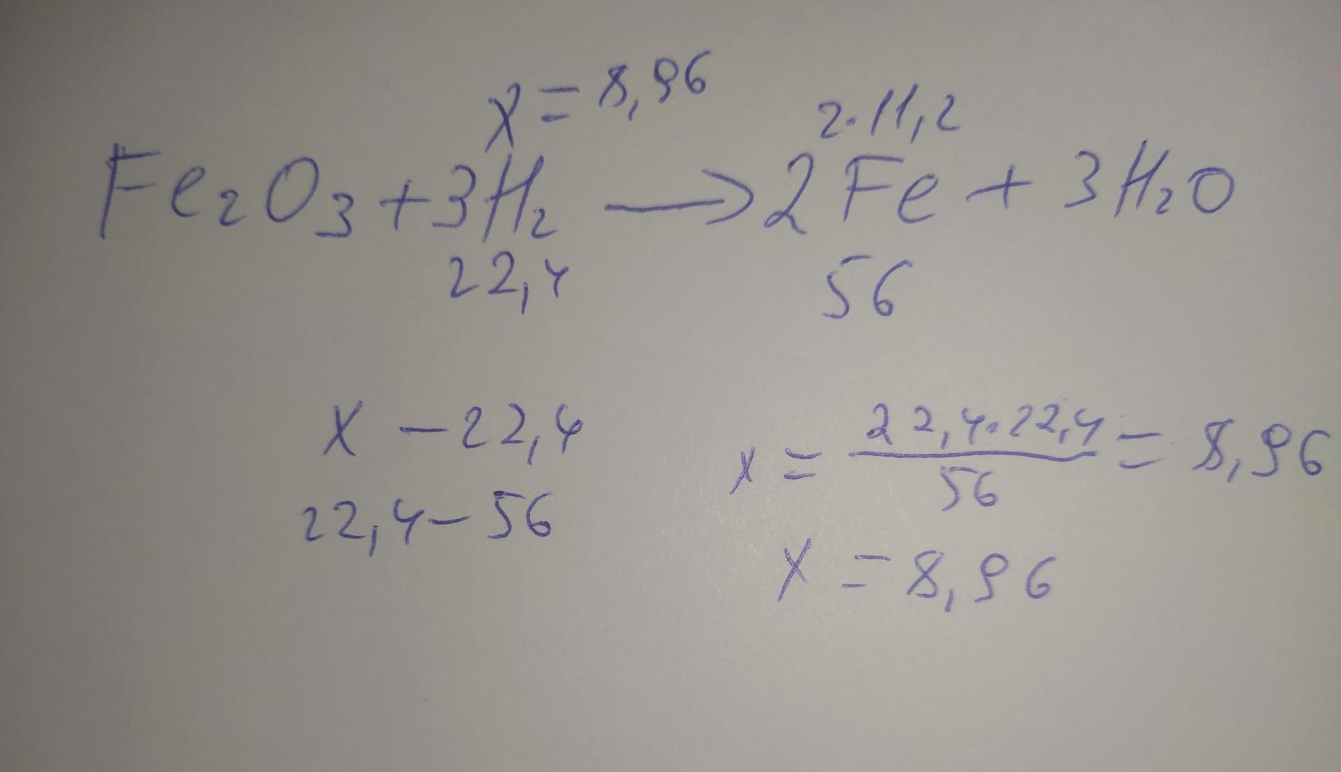
Вычислите объем водорода, который потребуется для получения 11,2 г железа по уравнению: Fe²O³ + 3H² = 2Fe + 3H²O. Какое количество вещества воды образовалось?
Ответы
Ответ дал:
1
Ответ:
здесь ответ тоже 8.96
Объяснение:
тут тоже самая задача просто с другим составом
Приложения:

whiteangel7:
Спасибо большое, ещё одна задача осталась у меня в профиле в вопросах, помогите с ней тоже пожалуйста и все
Вас заинтересует
2 года назад
2 года назад
2 года назад
2 года назад
8 лет назад
8 лет назад