• Предмет: Алгебра
  • Автор: ssliwwk
  • Вопрос задан 7 лет назад

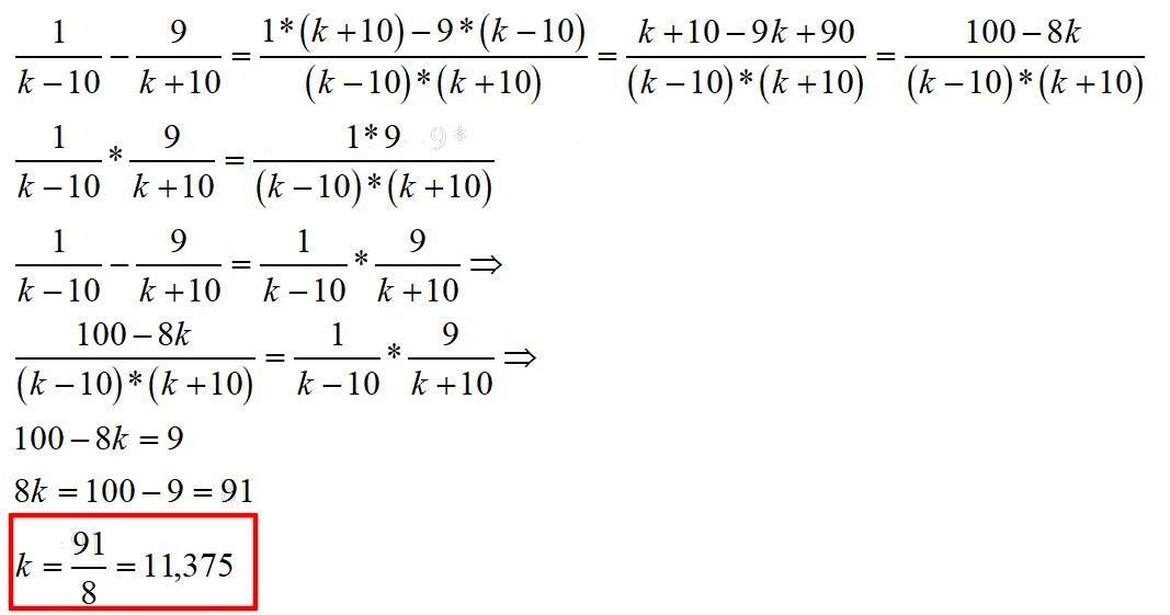
Определи значение переменной k, при и котором разность дробей

\frac{1}{k-10} и \frac{9}{k+10} равна их произведению

Ответ: k=

Ответы

Ответ дал: IUV
0

Ответ:

11,375

Объяснение:

во вложении

Приложения:
Вас заинтересует