• Предмет: Алгебра
  • Автор: avonok
  • Вопрос задан 7 лет назад

 СРОЧНО!

задание 2

Определите количество решений системы графическим методом
(На фото)

Задание 3
Решите систему уравнений ( на фото)

Задание 4
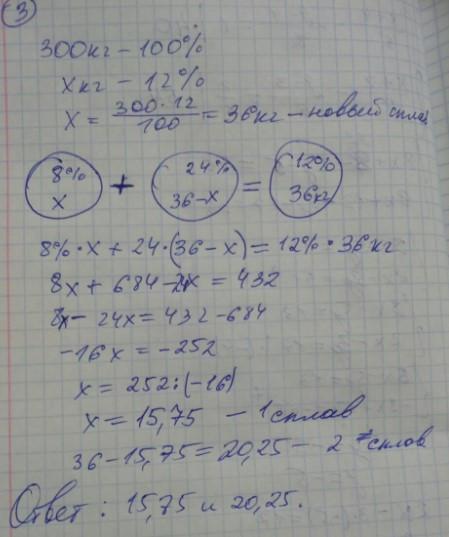
Составьте математическую модель задачи и решите её.
Имеется два сплава меди и цинка. Один сплав содержит 8%, а другой 24% цинка. Сколько килограммов каждого сплава надо взять чтобы получить сплав массой 300 кг содержащий 12 % цинка?

Приложения:

Ответы

Ответ дал: strictemagister
10

Ответ:

На фото

Объяснение:

Приложения:

elvwis: а во третьем задании на фото разве не должно быть 8%=0,8 ? разве так 8%•x = 8x? поясните, пожалуйста;)
Вас заинтересует