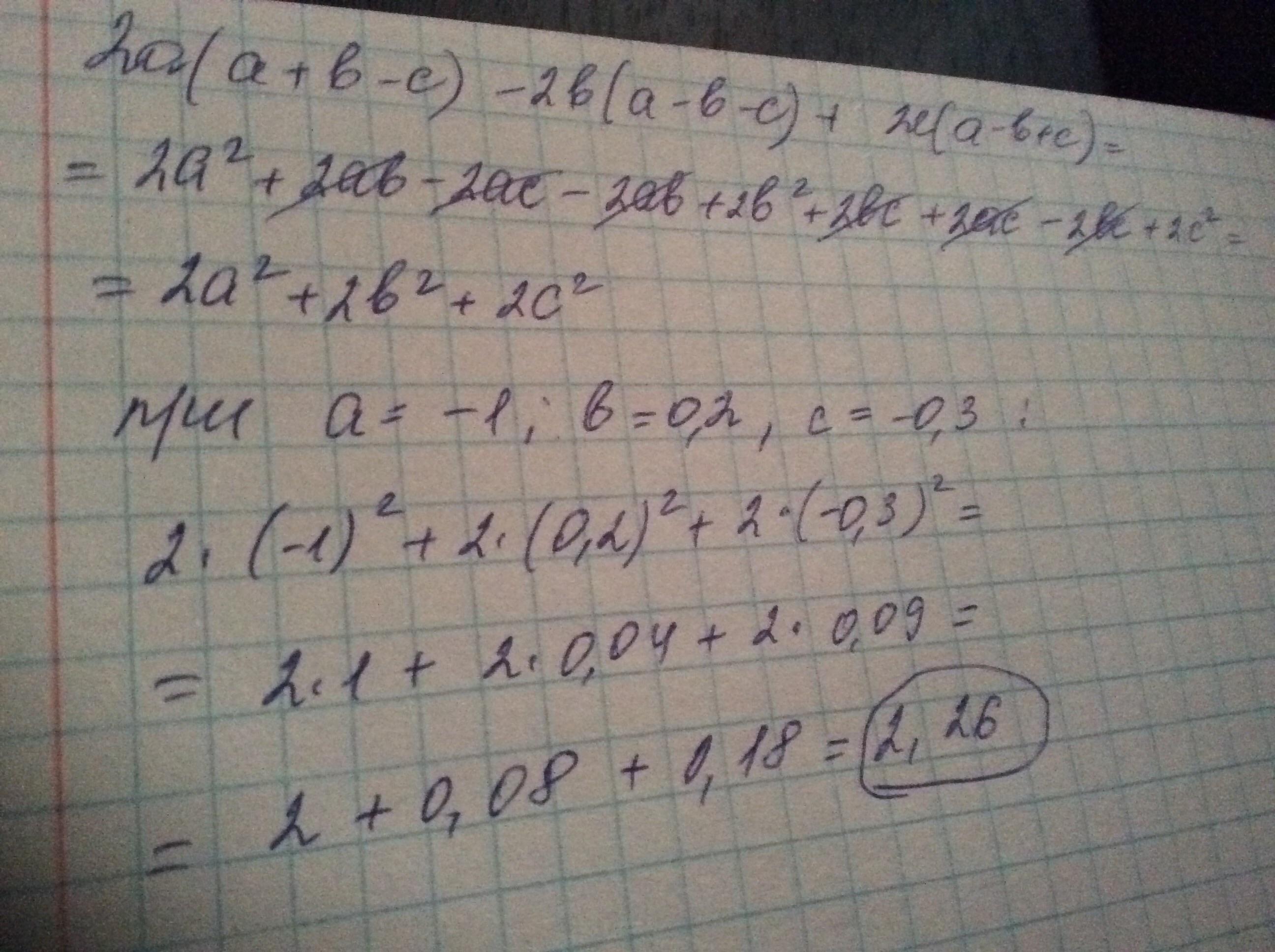
Упростите выражение:
2а (а+в-с)-2в (а-в-с)+2с(а-в+с)
и найдите его значение при а= -1; в=0,2; с= -0,3.
Ответы
Ответ дал:
0
Ответ:
Смотри решение на фото...
Приложения:

Ответ дал:
0
Ответ:
Объяснение:
Смотри
Приложения:

Вас заинтересует
2 года назад
2 года назад
8 лет назад
8 лет назад
9 лет назад