• Предмет: Алгебра
  • Автор: ri2588780
  • Вопрос задан 7 лет назад

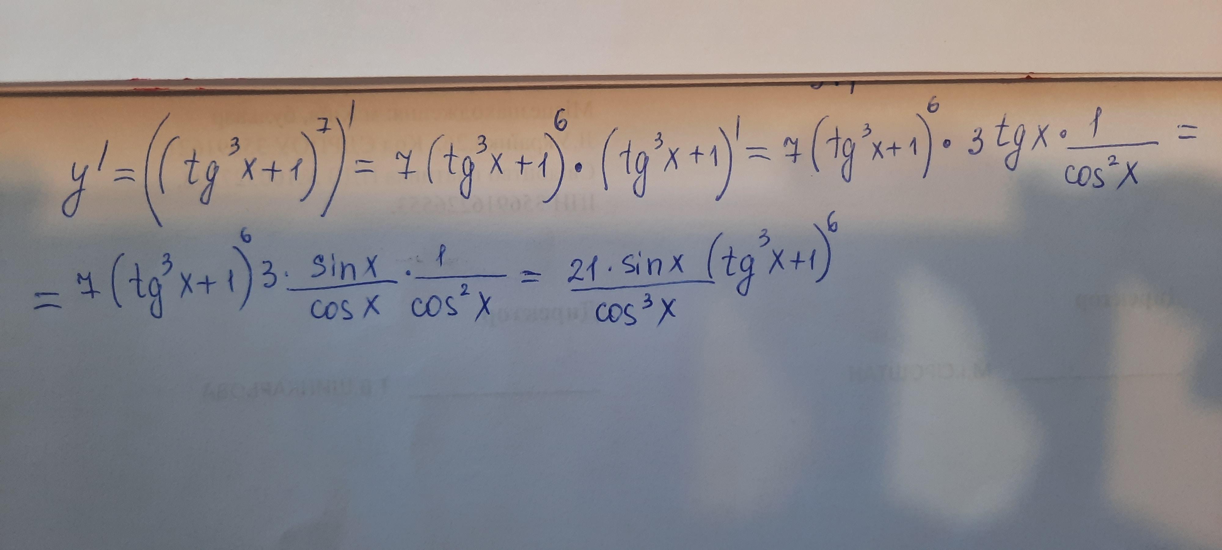
у=(tg³x+1)⁷ найти производную Функции​

Ответы

Ответ дал: Nelia2019
1

Производная сложной функции вычисляется так:

сначала считаем производную внешней функции,

потом производную внутренней функции.

решение отправляю на фото

Приложения:

ri2588780: спасибо,фото не открывается
Nelia2019: почему
ri2588780: незнаю.
ri2588780: незнаю.
ri2588780: незнаю.
ri2588780: сможешь написать а то фото не открывается
ri2588780: открыло
Вас заинтересует