• Предмет: Алгебра
  • Автор: minnnimaus
  • Вопрос задан 10 лет назад

Помогите пожалуйста!
Найдите значение выражения:
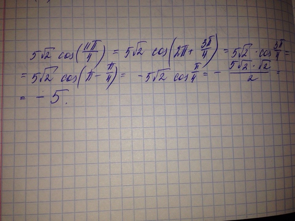
5 корень из 2 cos(11П/4)

Ответы

Ответ дал: shadow10
0
вот, я бы так решил           .
Приложения:
Ответ дал: minnnimaus
0
ес,я правильно решила^^ спасибо
Вас заинтересует