вычислить, (ответ представить в десятичной системе счисления!):
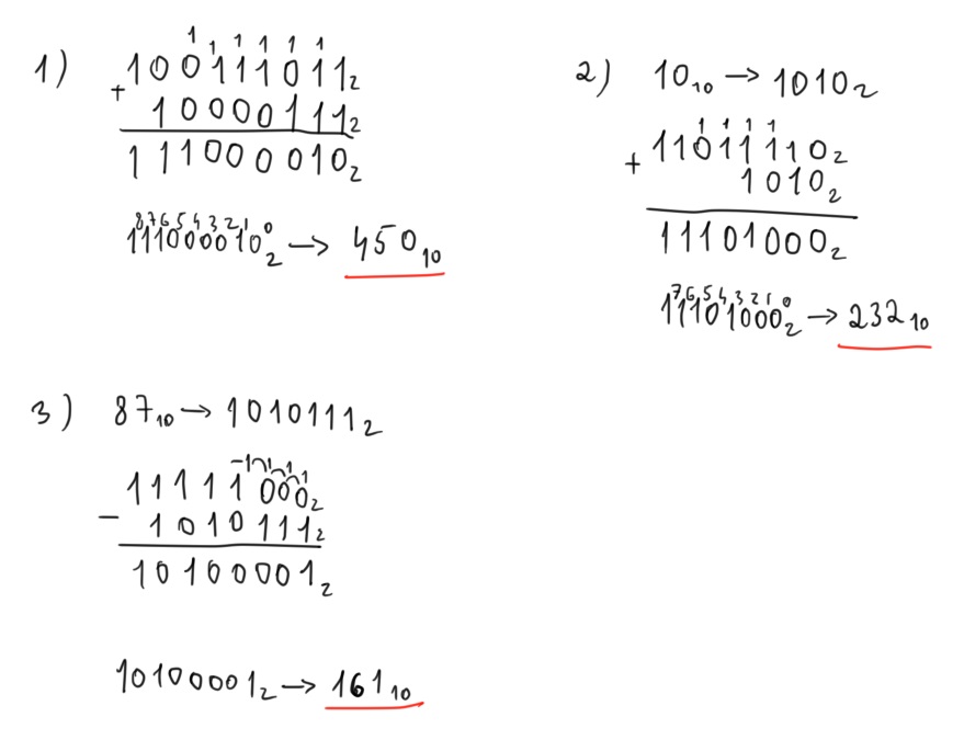
1) 100111011(2)+10000111(2)
2) 12(10)+11011110(2)
3) 11111000(2)-87(10)
Ответы
Ответ дал:
0
Решение на картинке.
Приложения:
Ответ дал:
0
спасибо огромное
Вас заинтересует
8 лет назад
11 лет назад
11 лет назад
11 лет назад