Ответы
Ответ дал:
1
Ответ:
Пошаговое объяснение:
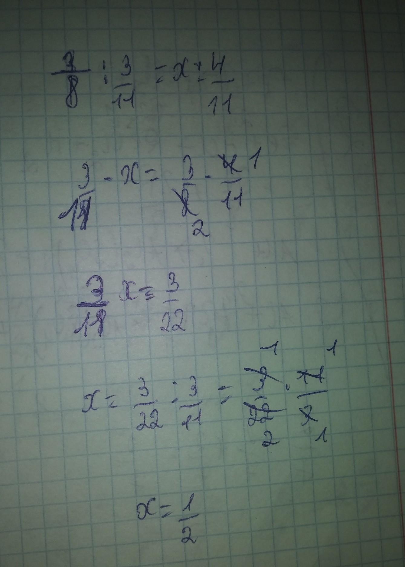
3/8:3/11=x:4/11
3/11 * x = 3/8 * 4/11
3/11 * x = 3/22
x = 3/22 : 3/11
x = 3/22 * 11/3
x = 1/2
Ответ дал:
0
Обьяснение:
Ответ на фото
Приложения:

Вас заинтересует
2 года назад
2 года назад
2 года назад
2 года назад
8 лет назад
8 лет назад
9 лет назад