ПОМОГИТЕ СРОЧНО. Метод интервалов
а)

б)

в)

Ticher1997:
в первом неравенство нету знака
Ответы
Ответ дал:
2
Ответ:
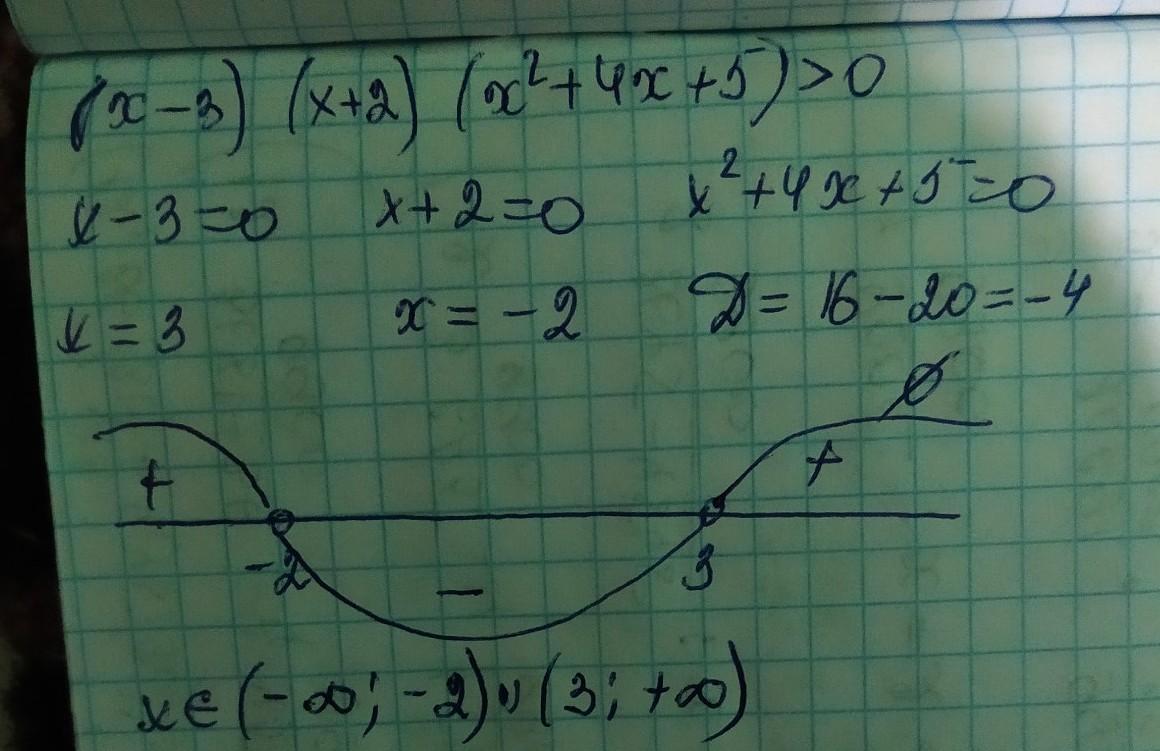
всё подробно решено на фотографиях
Приложения:



Вас заинтересует
2 года назад
2 года назад
2 года назад
2 года назад
8 лет назад
8 лет назад
9 лет назад