• Предмет: Алгебра
  • Автор: Аноним
  • Вопрос задан 7 лет назад

Algebra, комек до 22.00​

Приложения:

Ответы

Ответ дал: умныйкот2005
0

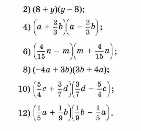
Ответ: Свойство степеней (a - b)(a + b)=a^2 - b^2

2) (8+у)(y-8)

(y+8)(y-8)

y^2-64.

4) (a+2/3b)(a-2/3b)

a^2-(2/3b)^2

a^2-4/9b^2

6) (4/15n-m)(m+4/15n)

(4/15n-m)(4/15n+m)

16/225n^2-m^2

8) (-4a+3b)(3b+4a)

(3b-4a)(3b+4a)

9b^2-16a^2

10) (5/4c+3/7d)(3/7d-5/4c)

(3/7d+5/4c)(3/7d-5/4c)

9/49d^2 - 25/16c^2

12)  (1/5a+1/9b)(1/9b-1/5a)

(1/9b+1/5a)(1/9b-1/5a)

1/81b^2+1/25a^2

Объяснение:

как-то так

Вас заинтересует