• Предмет: Алгебра
  • Автор: melnikovsemyon2205
  • Вопрос задан 7 лет назад

Срочно помогите пожалуйста!!!!

Приложения:

melnikovsemyon2205: 6 номер
melnikovsemyon2205: ТОЛЬКО : НОМЕР
melnikovsemyon2205: 6 НОМЕР ТОЛЬКО ЕГО

Ответы

Ответ дал: 7julija7
0

Відповідь:

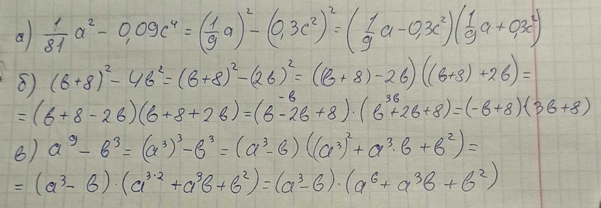
Пояснення: В первой и второй задаче применили формулу "разность квадратов", а в третьей - "разность кубов".

Приложения:
Вас заинтересует