• Предмет: Геометрия
  • Автор: iabednyagin
  • Вопрос задан 7 лет назад

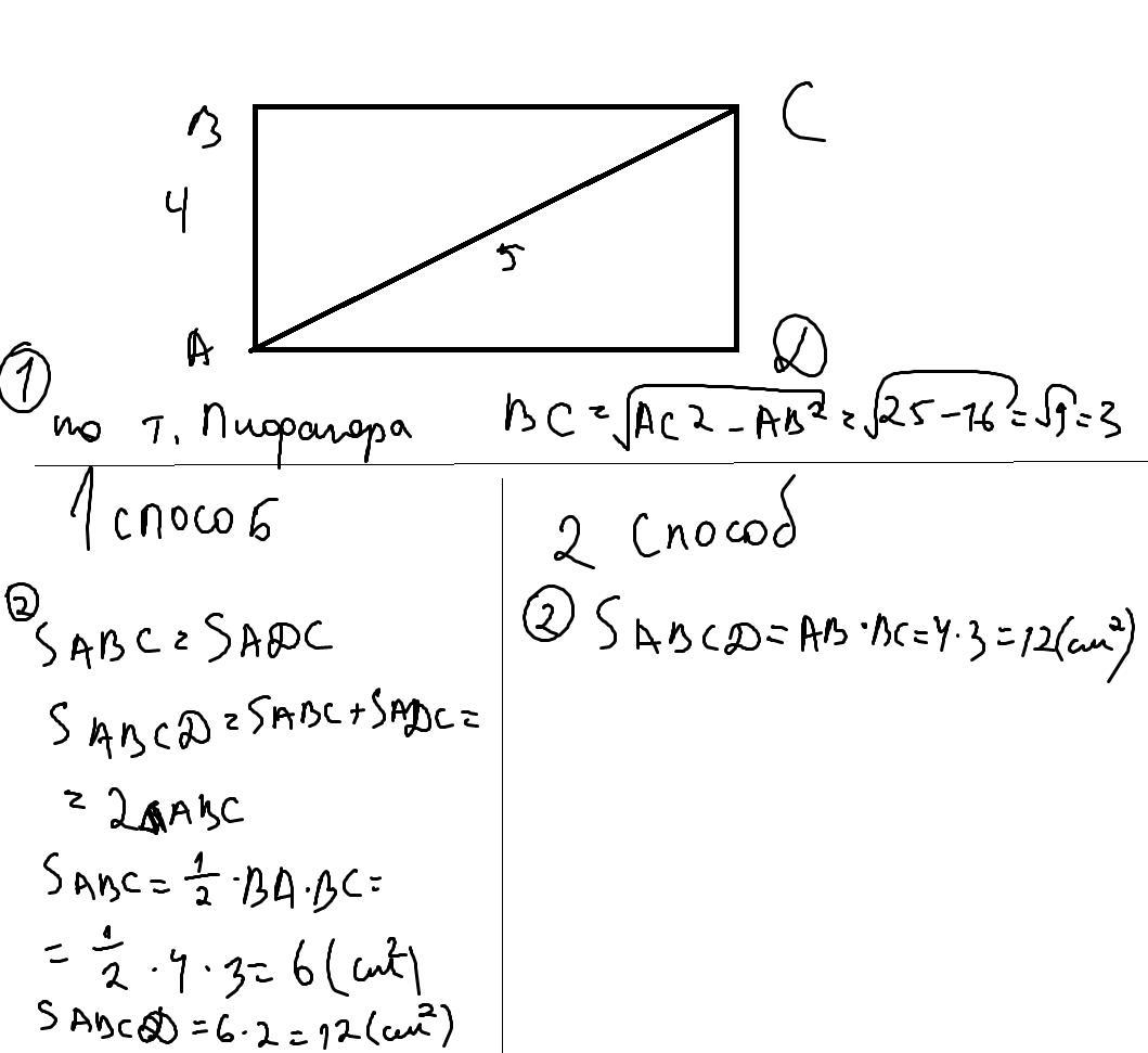
В прямоугольнике ABCD, AB = 4 см, AC = 5 см. Найдите площадь прямоугольника.​

Ответы

Ответ дал: chelovek12369655888
0

Ответ:

))))))))))))))))

Объяснение: ))))))))))))

Приложения:
Вас заинтересует