Ответы
Ответ дал:
1
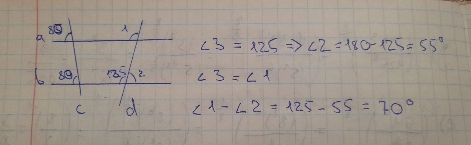
там в принципе все на фотографии понятно
Приложения:

davidlimon4ikom:
спасибо огромное люблю тебя)
Вас заинтересует
2 года назад
8 лет назад
8 лет назад