Ответы
Ответ дал:
0
Ответ:
Пошаговое объяснение:
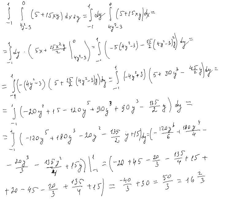
Приложения:

123помогите:
тест написал правильный ответ: -48
Вас заинтересует
2 года назад
2 года назад
2 года назад
2 года назад
8 лет назад