• Предмет: Математика
  • Автор: lox490
  • Вопрос задан 7 лет назад

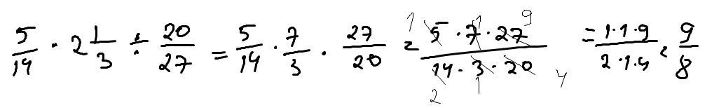
найдите значение вырожение 5/14×2 1/3÷20/27​

Ответы

Ответ дал: chelovek12369655888
0

Ответ:

фото

Пошаговое объяснение:

когда делим на 20/27, то мы заменяем деление на умножение, при этом переворачиваем дробь. Получается 27/20. Далее, откуда взялось 7/3. Это мы перевели 2 \frac{1}{3}.

Напоминание. Чтобы перевести из 2 \frac{1}{3} в \frac{7}{3} такую надо проделать данные действия: 3*2+ 1

Приложения:
Вас заинтересует