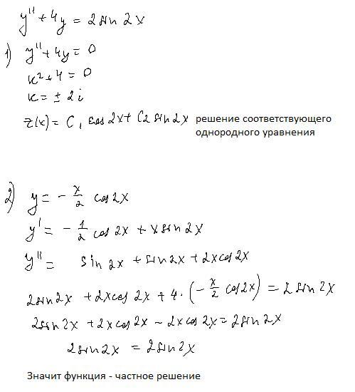
Для заданного неоднородного уравнения найти общее решение соответствующего однородного уравнения. Проверить, что указанная функция является частным решением неоднородного уравнения.
y"+4y=2sin2x
y=-x/2 cos2x
Ответы
Ответ дал:
1
Ответ:
Пошаговое объяснение:
Приложения:

soln4ko:
Большое спасибо за ответ
Вас заинтересует
2 года назад
2 года назад
2 года назад
2 года назад
8 лет назад
9 лет назад