• Предмет: Математика
  • Автор: soln4ko
  • Вопрос задан 7 лет назад

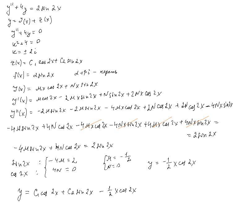
y"+4y= 2sin(2x)
y= -x/2* cos(2x)

Помогите решить уравнение

Ответы

Ответ дал: dashulka22222
1

Ответ:

Пошаговое объяснение:

Приложения:
Вас заинтересует