• Предмет: Математика
  • Автор: slavastruckov77
  • Вопрос задан 7 лет назад

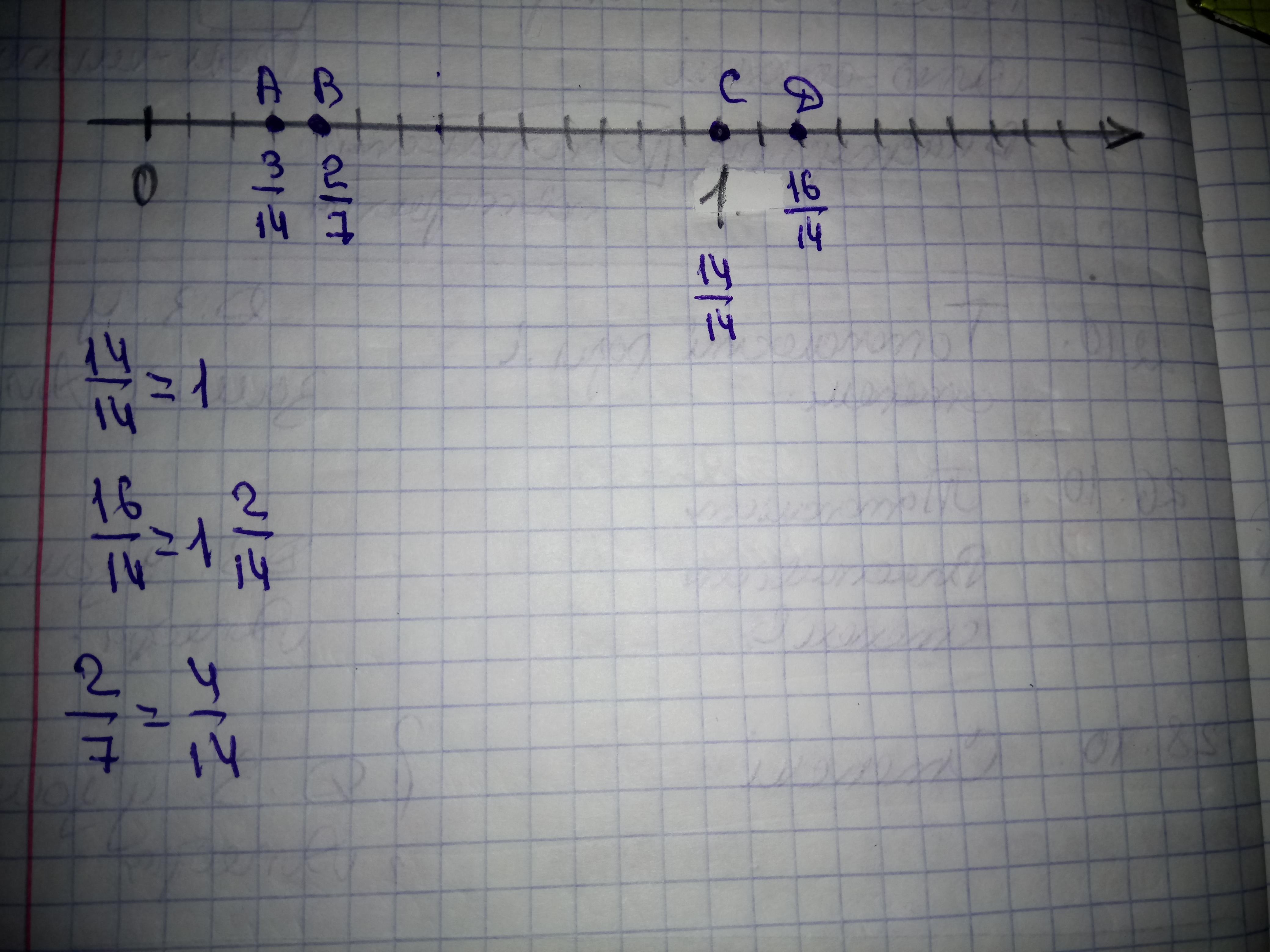
Начертите координатную прямую, приняв за единичный отрезок 14 клеток. Отметьте на координатной прямой дроби: 3/14; 16/14 ; 14/14 ; 2/7 .

Ответы

Ответ дал: Аноним
1

Решение задания прилагаю

Приложения:
Вас заинтересует