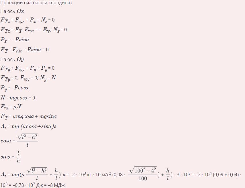
Автомобиль массой 2 т, двигаясь равномерно, через каждые 100 м поднимается на гору, высота которой 4 м. Чему равна работа двигателя машины, если она проехала 3 км за 4 минуты? Коэффициент трения равен 0,08.
20 баллов.
Ответы
Ответ дал:
7
Ответ:
-8
Объяснение:
Я прикрепил фото , удачки)
Приложения:

transformerPrime120:
спасибо правильно
Вас заинтересует
2 года назад
2 года назад
2 года назад
2 года назад
8 лет назад
9 лет назад