Равносильные уравнения. Линейное уравнение с одной переменной. Решение линейных уравнений с одной переменной. Урок 1 Реши уравнение и определи его корень. 14 X - 4 3 2 I ca 1 12 -x + 1 x = -5 x= 10 15 6 x = x=-10
Приложения:

lordtankkt:
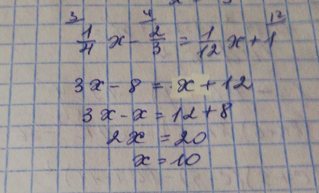
х=10
Ответы
Ответ дал:
5
Ответ:
Смотри решение на фото..
Приложения:

Вас заинтересует
2 года назад
2 года назад
2 года назад
9 лет назад
9 лет назад