• Предмет: Математика
  • Автор: vladuza9
  • Вопрос задан 7 лет назад

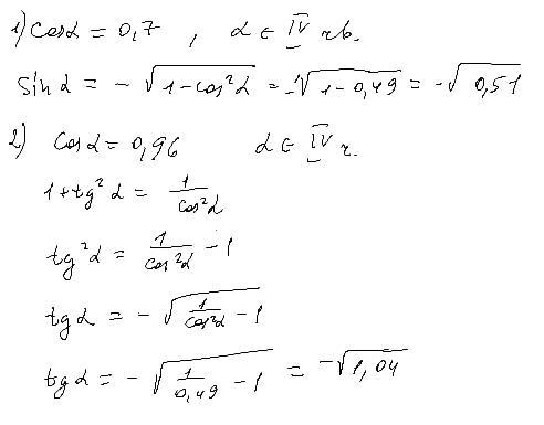
1) Вычислите sin a, если cos a = 0,7 и a - угол 4 четверти
5) Вычислите tan a, если cos a = 0.96 и a - угол 4 четверти

Ответы

Ответ дал: dashulka22222
0

Ответ:

Пошаговое объяснение:

Синус и тангенс в 4 четверти отрицателен

Приложения:
Вас заинтересует