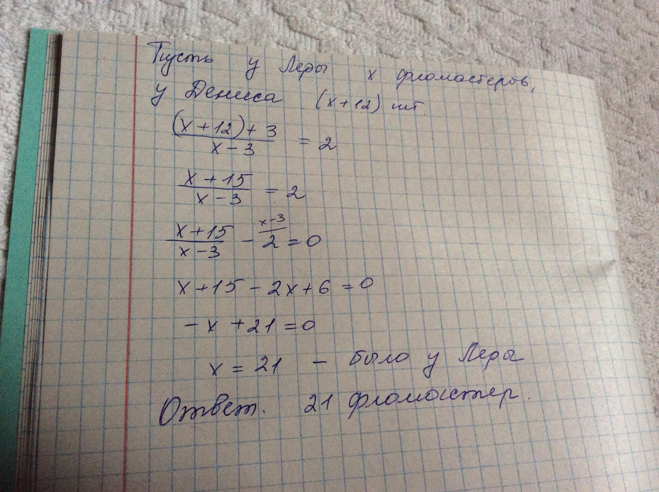
Реши задачу У Леры было на 12 фломастеров меньше, чем у Дениса. Когда Лера отдала з фломастера Денису, у него стало в 2 раза больше фломастеров, чем у Леры. Сколько фломастеров было у Леры сначала?
Ответы
Ответ дал:
109
Ответ:
Объяснение:
Смотри
Приложения:

Вас заинтересует
2 года назад
2 года назад
2 года назад
2 года назад
8 лет назад
8 лет назад
9 лет назад
9 лет назад