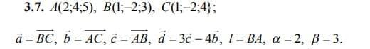
• Предмет: Математика
  • Автор: yapro100chempion
  • Вопрос задан 7 лет назад

Помогите решить пример во выш мату срочно

Приложения:

Ответы

Ответ дал: dnepr1
1

1) Находим вектор a = BC = (1-1; -2-(-2); 4-3) = (0; 0; 1).

   его модуль равен 1.

   Находим вектор b = AC = (1-2; -2-4; 4-5) = (-1; -6; -1).

  Скалярное произведение ab = 0*(-1) + 0*(-6) + 1*(-1) = -1.

2)  Находим вектор c = AB = (1-2; -2-4; 3-5) = (-1; -6; -2).

    Модуль c = √((-1)² + (-6)² + (-2)²) = √(1 + 36 + 4) = √41.

  Косинус угла ϕ = (a_c) = (0*(-1) + 0*(-6) + 1*(-2))/(1*41) = -2/√41 = -2√41/41.

  Угол ϕ = arccos(-2√41/41) = 108,201 градуса.

3) Орт вектора d равен: e = d/|d|.

   Находим вектор d  и его модуль.

  d = 3c – 4b = 3*(-1; -6; -2) – 4*(-1; -6; -1) = (-3+4; -18+24; -6+4) = (1; 6; -2).

   Модуль равен √(1² + 6² + (-2)²) = √(1 + 36 + 4) = √41.

   Подставим данные  в формулу.

   е = ((1/√41); (6/√41); (-2/√41)).

4) Координаты точки делящей отрезок в данном соотношении      находятся по формулам:

x = βx1+αx2  = x1+λx2    

       α+β             1+λ

y = βy1+αy2  =  y1+λy2

       α+β               1+λ

z = βz1+αz2     = z1+λz2

       α+β                  1+λ

Подставим координаты концов отрезка l = ВА в формулу при α = 2, β = 3.

Первая точка В(1; -2; 3), вторая А(2; 4; 5).

x(M) = (3*1 + 2*2)/(2 + 3) = 7/5 = 1,4.

y(M) = (3*(-2) + 2*4)/(2 + 3) = 2/5 = 0,4.

z(M) = (3*3 + 2*5)/(2 + 3) = 19/5 = 3,8.    

5) Площадь параллелограмма равна модулю векторного произведения.

Векторное произведение a = (0; 0; 1),  b = (-1; -6; -1):

i        j       k

0      0      1

-1     -6     -1  =

=i(0·(-1)-1·(-6)) - j(0·(-1)-1·(-1)) + k(0·(-6)-0·(-1)) = 6i - 1j - 0k.

S =√(6² + (-1)² + 0²) = √(36 + 1 + 0) =√37  ≈ 6,0828.

Вас заинтересует