• Предмет: Математика
  • Автор: matkinaelizaveta
  • Вопрос задан 7 лет назад

Выполни деление с остатком. Проверь 83:9, 49:5, 68:8,47:7,39:6,50:6,86:9,75:8.​

Приложения:

matkinaelizaveta: Помогите пж!

Ответы

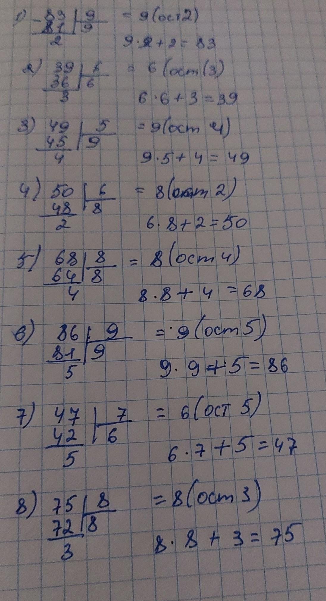
Ответ дал: nunu16032009
1

Ответ:

если не сложно отметитьте лучшиммммммм

Приложения:

matkinaelizaveta: Ну не столбиком
matkinaelizaveta: и я в 3
nunu16032009: какая разница
nunu16032009: видно же
matkinaelizaveta: я не чо не понимаю
nunu16032009: а я в 7
nunu16032009: это во втором классе проходят
nunu16032009: в столбик
Ответ дал: iramazurk
1

Ответ:

Пошаговое объяснение:

83 : 9 = 9 (ост. 2)

9*9 + 2 = 81 + 2 = 83

49 : 5 = 9 (ост. 4)

9*5 + 4 = 45 + 4 = 49

68 : 8 = 8 (ост. 4)

8*8 + 4 = 64 + 4 = 68

47 : 7 = 6 (ост. 5)

6*7 + 5 = 42 + 5 = 47

39 : 6 = 6 (ост. 3)

6*6 + 3 = 36 + 3 = 39

50 : 6 = 8 (ост. 2)

8*6 + 2 = 48 + 2 = 50

86 : 9 = 9 (ост. 5)

9*9 + 5 = 81 + 5 = 86

75 : 8 = 9 (ост. 3)

9*8 + 3 = 72 + 3 = 75

Вас заинтересует