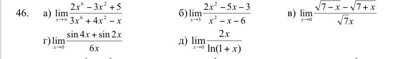
Сделайте пожалуйста) 46, 76, 86, 106, 126. Желательно напишите все на листочках…Буду благодарен
Приложения:





Ответы
Ответ дал:
0
Ответ:
Пошаговое объяснение:
решение на фото;)
Приложения:





Вас заинтересует
2 года назад
2 года назад
2 года назад
2 года назад
8 лет назад
8 лет назад
9 лет назад