Ответы
Ответ дал:
0
Відповідь:
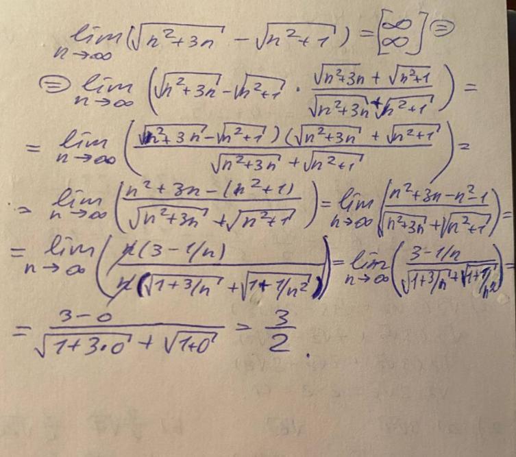
ответ на фото
Приложения:

Вас заинтересует
2 года назад
2 года назад
2 года назад
8 лет назад
8 лет назад
9 лет назад