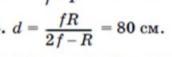
3. Вогнутое сферическое зеркало с радиусом кривизны R = 80 см дает действительное изображение предмета на рас- стоянии f = 80 см от зеркала. Определите расстояние между предметом и зеркалом. Помогите пожалуйста
Ответы
Ответ дал:
0
ответ находиться в фотке
Приложения:

Вас заинтересует
2 года назад
2 года назад
2 года назад
2 года назад
8 лет назад
8 лет назад
9 лет назад