Ответы
Ответ дал:
0
Ответ:
-8
Объяснение:
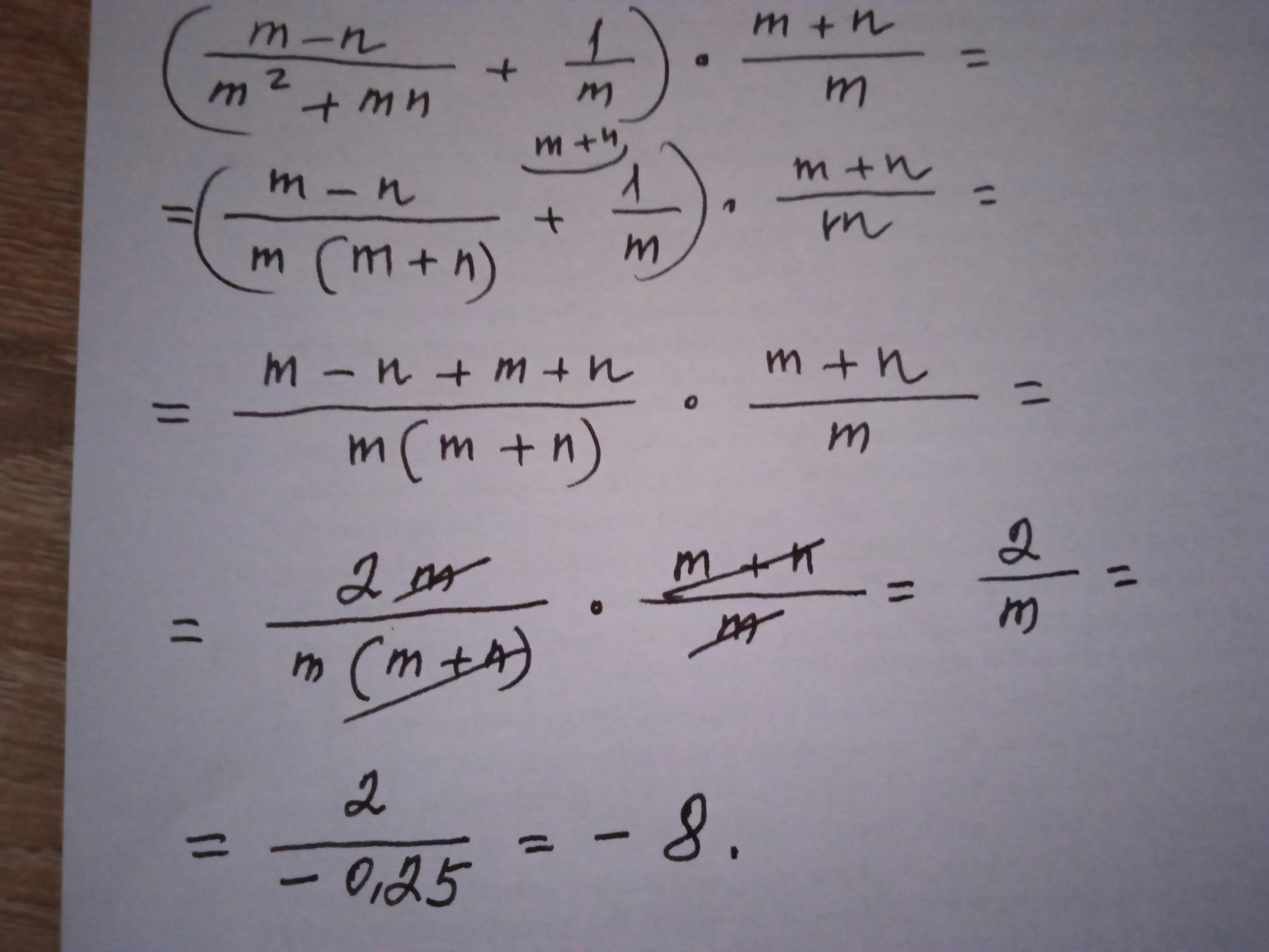
на фото
Приложения:

Ответ дал:
0
1)приведем к общему знаменателю выражение. т.к. m²+mn=m*(m+n), то общим знаменателем будет m*(m+n).
2)выполним действия в скобках.
((m-n)/(m*(m+n))+1/m=(m-n+m+n)/(m*(m+n))=2m/(m*(m+n))=2/(m+n)
3) разделить дробь на дробь - значит умножить делимое на дробь, обратную делителю. заменим умножением деление. cократив на (m+n), получим:
2/(m+n):((m/(m+n)=2(m+n)/((m+n)*m)=2/m
при m=-0/25=-1/4 подставляя в упрощенное выражение, имеем
2/m=2/(-1/4)=2*(-4)=-8, от n выражение не зависит.
Ответ -8
Вас заинтересует
2 года назад
2 года назад
8 лет назад
8 лет назад
9 лет назад