Ответы
Ответ дал:
0
Пошаговое объяснение:
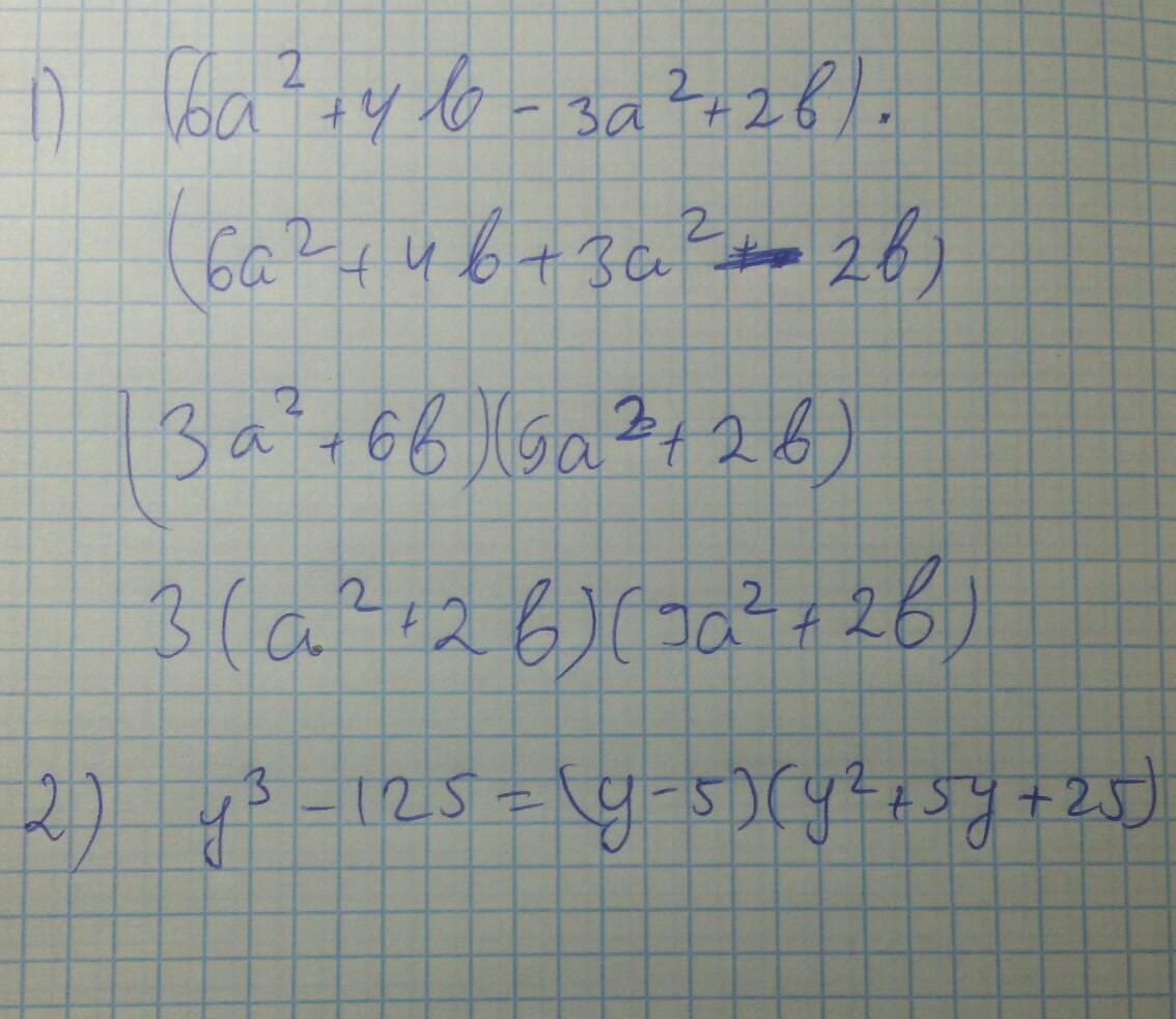
1) 3(a^2+2b)(9a^2+2b)
2)(y-5)(y^2+5y+25)
Приложения:

Вас заинтересует
2 года назад
2 года назад
2 года назад
8 лет назад
8 лет назад
9 лет назад