• Предмет: Математика
  • Автор: AlinaKumasheva
  • Вопрос задан 7 лет назад

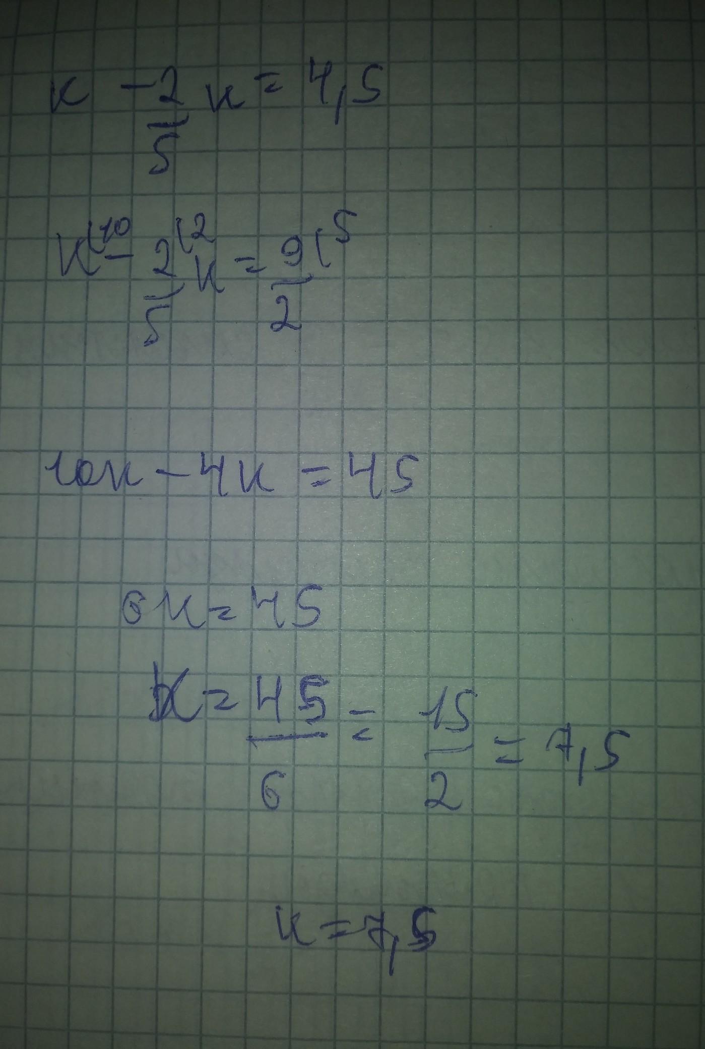
Решить уравнение К-2/5к=4, 5

Ответы

Ответ дал: dyexfnf
0

Ответ:

Пошаговое объяснение:

К-2/5к=4, 5

к- 0,4к= 4,5

0,6к= 4,5

к= 4,5 :0,6

к=7,5

Ответ дал: aristoktararistokrat
0

Ответ: на фото

Обьяснение

Приложения:
Вас заинтересует